• 100% Consistency – no datasheets, no estimates, only high-quality data acquisition
• Instant One-Click Comparisons – find the perfect cell in seconds
• Unlimited Access to all cells for members
获取有关 CALB L310F140A 锂离子电池单元的所有所需信息:全运行范围内的广泛测量数据、具有全球有效性且高精度的物理电池模型,以及包含所有材料和微观结构详细信息的拆解报告。
| 电池的起源 | 外供 |
| 电池类型 | 棱柱形 |
| 尺寸 | 310 x 110.2 x 32.2 mm |
| 重量 | 2.5378 kg |
| 容量 定义关闭
标称容量基于制造商的数据表,如果数据表不可用,则标称容量为估计值。巴特莫在25°C的环境温度下从100%放电,并用恒定电流测量C/10容量。使用14A (0.1C) 放电,直到达到2V的电压。热边界条件为自然对流。
|
标称 140 Ah C/10 141.4 Ah |
| 电流 定义关闭
所有数据均来自巴特莫电池实验室的测量结果。
连续电流是完全放电而不使电池过热的最高电流。因此,电池在25°C的环境温度下从100%的充电状态(SOC)开始,以恒定电流放电,直到剩余充电状态降至10%或达到下限电压限制2V,或最大表面温度的90%(50°C)。 峰值电流是电池能够在5分钟内提供的电流。因此,电池在25°C的环境温度下从100% SOC开始,以恒定电流放电,直到5分钟后达到下限电压限制2V或最大表面温度55°C。对于达到最大表面温度的电池,测量的电流直接作为峰值电流。对于在5分钟后未达到最大表面温度但首先达到下限电压限制的电池,测量的电流会乘以一个修正系数,以估计在5分钟内会将电池加热到最大表面温度的电流。 热边界条件为自然对流。这些操作条件可能超出电池制造商的规格。 |
连续 372 A 峰值 808 A |
| 能量 定义关闭
巴特莫测量了在25°C环境温度下,从100%充电状态用恒定电流14A (0.1C) 放电直到达到2V的C/10能量。热边界条件为自然对流。
|
C/10 459.2 Wh |
| 功率 定义关闭
所有数据均来自巴特莫电池实验室的测量结果。
连续功率是完全放电而不使电池过热的最高功率。因此,电池在25°C的环境温度下从100%的充电状态(SOC)开始,以恒定电流放电,直到剩余充电状态降至10%或达到下限电压限制2V,或最大表面温度的90%(50°C)。 峰值功率是电池能够在5分钟内提供的功率。因此,电池在25°C的环境温度下从100% SOC开始,以恒定电流放电,直到5分钟后达到下限电压限制2V或最大表面温度55°C。对于达到最大温度限制的电池,测量的功率直接作为峰值功率。对于在5分钟后未达到最大表面温度但首先达到下限电压限制的电池,测量的功率会乘以一个修正系数,以估计在5分钟内会将电池加热到最大表面温度的功率。 热边界条件为自然对流。这些操作条件可能超出电池制造商的规格。 |
连续 1.15 kW 峰值 2.43 kW |
| 能量密度 定义关闭
能量密度由C/10能量、电池重量和电池体积计算得出。
|
重量能量密度 181 Wh/kg 体积能量密度 416 Wh/l |
| 功率密度 定义关闭
功率密度由峰值功率、电池重量和电池体积计算得出。
|
重量功率密度 959 W/kg 体积功率密度 2.2 kW/l |
| Chemistry definition |
cathode ████ anode ████ |
| Resistance definition |
RAC ██ mΩ Rpol ██ mΩ DCIR ██ mΩ |
| Heat Power definition |
@ 1C ██ W @ 3C ██ W |
| Efficiency definition |
@ C/2 ██ % @ 1C ██ % |
通过 Batemo Insights 发现更多
使用 100+ 指标、老化数据、热分析等探索 L310F140A
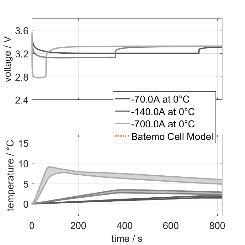
锂离子 CALB L310F140A 电池的 Batemo 电池模型是一个高精度的物理电池模型,具有全局有效性。作为一个数字孪生模型,它可通过模拟将您的决策无缝集成到您的研究、开发和电池分析中。有关巴特莫电池模型的特性和功能的详细信息,请参见 详情。Batemo 通过比较以下范围内的电池模拟和测量数据,证明了 Batemo 电池模型的准确性和有效性。验证范围广泛,实验特征涵盖电池的整个运行区域: 在低温和高温、最大电流和整个充电状态范围内。
| 充电状态范围 | 0 … 100% |
| 电流范围 定义关闭 电流范围是巴特莫电池实验室中使用的电流限制。关于电池安全工作范围的准确定义,请参阅 CALB L310F140A 数据表。 |
-1400 A 放电 … 840 A 充电 (-10C … 6C) |
| 电压范围 定义关闭 电压范围是巴特莫电池实验室中使用的电压限制。关于电池安全工作电压范围的准确定义,请参阅 CALB L310F140A 数据表。 |
2 … 3.8 V |
| 温度范围 定义关闭 温度范围是巴特莫电池实验室中使用的温度限制。关于电池安全工作温度范围的准确定义,请参阅 CALB L310F140A 数据表。 |
-20 … 55 °C |
此外,巴特莫电池模型的验证将完全透明。巴特莫电池数据包含原始测量数据和仿真数据。所有实验都会计算电压、温度、功率和能量的准确性。这使得可以轻松评估和分析巴特莫电池模型的有效性。图表显示了电池“CALB L310F140A”的特性数据选项,以评估电池性能。当巴特莫电池模型完成后,将包括预测结果。
显示实验定义关闭
平均精度和相应的仿真工具将在巴特莫(Batemo)电池模型完成后发布。
巴特莫 提供电池单元 CALB L310F140A 的广泛实验特性评估。数据包含了电池在所有操作区域的测量结果。以下说明和图表描述并展示了可用的测量结果。巴特莫 单元查看器使得数据的简便和快速分析、评估及比较成为可能。请点击这里查看详细信息。
电池在各种环境温度下,通过不同的恒定电流从 100% SOC 放电或从 0% SOC 充电。热边界条件为自然对流。测量会在电压达到 2V 或 3.8V 或表面温度达到 55°C 时停止。图表显示了在哪些环境温度和恒定电流下可以进行测量。
电池在各种环境温度下,经过无负载阶段后通过电流脉冲从 100% SOC 放电或从 0% SOC 充电。热边界条件为自然对流。测量会在电压达到 2V 或 3.8V 或表面温度达到 55°C 时停止。图表显示了在哪些环境温度和脉冲电流下可以进行测量。
| 环境 温度 |
可用 配置文件 |
|---|---|
| -20 °C | ![]() |
| 0 °C | ![]() |
| 25 °C | ![]() |
| 40 °C | ![]() |
电池在各种环境温度下提供从 100% SOC 开始的典型功率曲线。热边界条件为自然对流。测量会在电压达到 2V 或表面温度达到 55°C 时停止。表格总结了在这些环境温度下可以获得的曲线。
巴特莫提供电池单元 CALB L310F140A 的详细报告。报告包含了有关电池单元的所有重要方面。这些信息对于进一步评估和比较电池单元非常有用。这是进行电池系统设计决策的重要基础。请点击这里查看详细信息。
| 性能概述 | ![]() |
| 电芯外壳 | ![]() |
| 电芯内部 | ![]() |
| 安全性能 | ![]() |
| 电极的微细结构和材料 | ![]() |
在 Batemo Insights 中解锁 L310F140A 的完整分析
Get in touch with an expert and receive a customized quotation for access to Batemo Insights.
扫描二维码联系我们的应用专家

Batemo 不是电池经销商。您可以从这里购买电池: CALB 中航锂电 L310F140A 从 Reliance. 请填写下表以获取报价。
Batemo 不是电池经销商。您可以从这里购买电池: CALB 中航锂电 L310F140A 从 BAK Battery. 请填写下表以获取报价。
Batemo 不是电池经销商。您可以从这里购买电池: CALB 中航锂电 L310F140A 从 TENPOWER. 请填写下表以获取报价。
Batemo 不是电池经销商。您可以从这里购买电池: CALB 中航锂电 L310F140A 从 Lishen Battery (SuZhou) Co., Ltd. 请填写下表以获取报价。
Batemo 不是电池经销商。您可以从这里购买电池: CALB 中航锂电 L310F140A 从 FEB. 请填写下表以获取报价。
Batemo 不是电池经销商。您可以从这里购买电池: CALB 中航锂电 L310F140A 从 Farasis. 请填写下表以获取报价。
Batemo 不是电池经销商。您可以从这里购买电池: CALB 中航锂电 L310F140A 从 muRata. 请填写下表以获取报价。
Batemo 不是电池经销商。您可以从这里购买电池: CALB 中航锂电 L310F140A 从 DMEGC. 请填写下表以获取报价。
扫描二维码联系我们的应用专家

Batemo 不是电池经销商。您可以从这里购买电池: CALB 中航锂电 L310F140A 从 Aspilsan. 请填写下表以获取报价。
Batemo 不是电池经销商。您可以从这里购买电池: CALB 中航锂电 L310F140A 从 Molicel. 请填写下表以获取报价。
Batemo 不是电池经销商。您可以从这里购买电池: CALB 中航锂电 L310F140A 从 BMZ Germany GmbH. 请填写下表以获取报价。
申请一个 Batemo 电池模型
请联系我们的专家, 获取CALB 中航锂电 L310F140A电池最精确的电池模型的报价。
想了解如何获取电芯的模型?扫描二维码联系Batemo的应用专家

申请一个 Batemo 电池报告
请联系我们的专家,获取CALB 中航锂电 L310F140A电池最精确的电池模型的报价。
想了解如何获取电芯的报告?扫描二维码联系Batemo的应用专家

请联系我们的专家, 获取CALB 中航锂电 L310F140A电池完整的实验特性的报价
想了解如何获取电芯的数据?扫描二维码联系Batemo的应用专家

You are currently viewing a placeholder content from Vimeo. To access the actual content, click the button below. Please note that doing so will share data with third-party providers.
More InformationYou are currently viewing a placeholder content from YouTube. To access the actual content, click the button below. Please note that doing so will share data with third-party providers.
More InformationYou need to load content from reCAPTCHA to submit the form. Please note that doing so will share data with third-party providers.
More InformationYou are currently viewing a placeholder content from Vimeo. To access the actual content, click the button below. Please note that doing so will share data with third-party providers.
More InformationYou are currently viewing a placeholder content from YouTube. To access the actual content, click the button below. Please note that doing so will share data with third-party providers.
More InformationYou are currently viewing a placeholder content from Bunny Stream. To access the actual content, click the button below. Please note that doing so will share data with third-party providers.
More InformationYou are currently viewing a placeholder content from Wistia. To access the actual content, click the button below. Please note that doing so will share data with third-party providers.
More InformationYou are currently viewing a placeholder content from Facebook. To access the actual content, click the button below. Please note that doing so will share data with third-party providers.
More Information