• 100% Consistency – no datasheets, no estimates, only high-quality data acquisition
• Instant One-Click Comparisons – find the perfect cell in seconds
• Unlimited Access to all cells for members
获取有关 HiNa Battery ME185 钠离子电池单元的所有所需信息:全运行范围内的广泛测量数据、具有全球有效性且高精度的物理电池模型,以及包含所有材料和微观结构详细信息的拆解报告。
| 电池的起源 | 在自由市场上采购 |
| 电池类型 | 棱柱形 |
| 尺寸 | 204 x 174 x 71.7 mm |
| 重量 | 4.9083 kg |
| 容量 定义关闭
标称容量基于制造商的数据表,如果数据表不可用,则标称容量为估计值。巴特莫在25°C的环境温度下从100%放电,并用恒定电流测量C/10容量。使用18.5A (0.1C) 放电,直到达到2V的电压。热边界条件为自然对流。
|
标称 185 Ah C/10 199.8 Ah |
| 电流 定义关闭
所有数据均来自巴特莫电池实验室的测量结果。
连续电流是完全放电而不使电池过热的最高电流。因此,电池在25°C的环境温度下从100%的充电状态(SOC)开始,以恒定电流放电,直到剩余充电状态降至10%或达到下限电压限制2V,或最大表面温度的90%(45°C)。 峰值电流是电池能够在5分钟内提供的电流。因此,电池在25°C的环境温度下从100% SOC开始,以恒定电流放电,直到5分钟后达到下限电压限制2V或最大表面温度50°C。对于达到最大表面温度的电池,测量的电流直接作为峰值电流。对于在5分钟后未达到最大表面温度但首先达到下限电压限制的电池,测量的电流会乘以一个修正系数,以估计在5分钟内会将电池加热到最大表面温度的电流。 热边界条件为自然对流。这些操作条件可能超出电池制造商的规格。 |
连续 214 A 峰值 673 A |
| 能量 定义关闭
巴特莫测量了在25°C环境温度下,从100%充电状态用恒定电流18.5A (0.1C) 放电直到达到2V的C/10能量。热边界条件为自然对流。
|
C/10 607.4 Wh |
| 功率 定义关闭
所有数据均来自巴特莫电池实验室的测量结果。
连续功率是完全放电而不使电池过热的最高功率。因此,电池在25°C的环境温度下从100%的充电状态(SOC)开始,以恒定电流放电,直到剩余充电状态降至10%或达到下限电压限制2V,或最大表面温度的90%(45°C)。 峰值功率是电池能够在5分钟内提供的功率。因此,电池在25°C的环境温度下从100% SOC开始,以恒定电流放电,直到5分钟后达到下限电压限制2V或最大表面温度50°C。对于达到最大温度限制的电池,测量的功率直接作为峰值功率。对于在5分钟后未达到最大表面温度但首先达到下限电压限制的电池,测量的功率会乘以一个修正系数,以估计在5分钟内会将电池加热到最大表面温度的功率。 热边界条件为自然对流。这些操作条件可能超出电池制造商的规格。 |
连续 631 W 峰值 2.14 kW |
| 能量密度 定义关闭
能量密度由C/10能量、电池重量和电池体积计算得出。
|
重量能量密度 124 Wh/kg 体积能量密度 239 Wh/l |
| 功率密度 定义关闭
功率密度由峰值功率、电池重量和电池体积计算得出。
|
重量功率密度 436 W/kg 体积功率密度 840 W/l |
| Chemistry definition |
cathode ████ anode ████ |
| Resistance definition |
RAC ██ mΩ Rpol ██ mΩ DCIR ██ mΩ |
| Heat Power definition |
@ 1C ██ W @ 3C ██ W |
| Efficiency definition |
@ C/2 ██ % @ 1C ██ % |
通过 Batemo Insights 发现更多
使用 100+ 指标、老化数据、热分析等探索 ME185
钠离子 HiNa Battery ME185 电池的 Batemo 电池模型是一个高精度的物理电池模型,具有全局有效性。作为一个数字孪生模型,它可通过模拟将您的决策无缝集成到您的研究、开发和电池分析中。有关巴特莫电池模型的特性和功能的详细信息,请参见 详情。Batemo 通过比较以下范围内的电池模拟和测量数据,证明了 Batemo 电池模型的准确性和有效性。验证范围广泛,实验特征涵盖电池的整个运行区域: 在低温和高温、最大电流和整个充电状态范围内。
| 充电状态范围 | 0 … 100% |
| 电流范围 定义关闭 电流范围是巴特莫电池实验室中使用的电流限制。关于电池安全工作范围的准确定义,请参阅 HiNa Battery ME185 数据表。 |
-740 A 放电 … 185 A 充电 (-4C … 1C) |
| 电压范围 定义关闭 电压范围是巴特莫电池实验室中使用的电压限制。关于电池安全工作电压范围的准确定义,请参阅 HiNa Battery ME185 数据表。 |
2 … 3.85 V |
| 温度范围 定义关闭 温度范围是巴特莫电池实验室中使用的温度限制。关于电池安全工作温度范围的准确定义,请参阅 HiNa Battery ME185 数据表。 |
-20 … 50 °C |
此外,巴特莫电池模型的验证将完全透明。巴特莫电池数据包含原始测量数据和仿真数据。所有实验都会计算电压、温度、功率和能量的准确性。这使得可以轻松评估和分析巴特莫电池模型的有效性。图表显示了电池“HiNa Battery ME185”的特性数据选项,以评估电池性能。当巴特莫电池模型完成后,将包括预测结果。
显示实验定义关闭
平均精度和相应的仿真工具将在巴特莫(Batemo)电池模型完成后发布。
巴特莫 提供电池单元 HiNa Battery ME185 的广泛实验特性评估。数据包含了电池在所有操作区域的测量结果。以下说明和图表描述并展示了可用的测量结果。巴特莫 单元查看器使得数据的简便和快速分析、评估及比较成为可能。请点击这里查看详细信息。
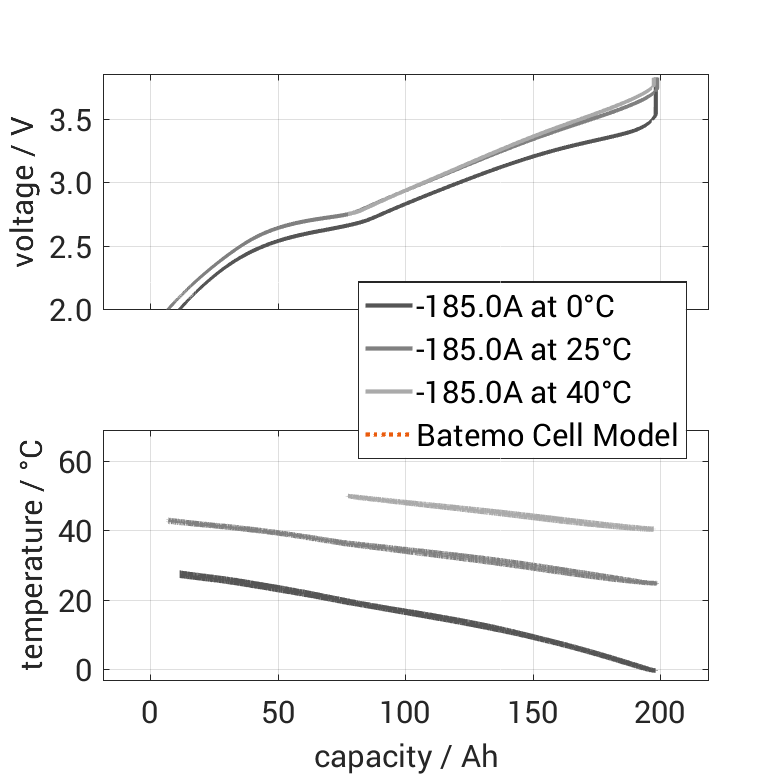
电池在各种环境温度下,通过不同的恒定电流从 100% SOC 放电或从 0% SOC 充电。热边界条件为自然对流。测量会在电压达到 2V 或 3.85V 或表面温度达到 50°C 时停止。图表显示了在哪些环境温度和恒定电流下可以进行测量。
电池在各种环境温度下,经过无负载阶段后通过电流脉冲从 100% SOC 放电或从 0% SOC 充电。热边界条件为自然对流。测量会在电压达到 2V 或 3.85V 或表面温度达到 50°C 时停止。图表显示了在哪些环境温度和脉冲电流下可以进行测量。
| 环境 温度 |
可用 配置文件 |
|---|---|
| -20 °C | ![]() |
| 0 °C | ![]() |
| 25 °C | ![]() |
| 40 °C | ![]() |
电池在各种环境温度下提供从 100% SOC 开始的典型功率曲线。热边界条件为自然对流。测量会在电压达到 2V 或表面温度达到 50°C 时停止。表格总结了在这些环境温度下可以获得的曲线。
巴特莫提供电池单元 HiNa Battery ME185 的详细报告。报告包含了有关电池单元的所有重要方面。这些信息对于进一步评估和比较电池单元非常有用。这是进行电池系统设计决策的重要基础。请点击这里查看详细信息。
| 性能概述 | ![]() |
| 电芯外壳 | ![]() |
| 电芯内部 | ![]() |
| 安全性能 | ![]() |
| 电极的微细结构和材料 | ![]() |
在 Batemo Insights 中解锁 ME185 的完整分析
Get in touch with an expert and receive a customized quotation for access to Batemo Insights.
扫描二维码联系我们的应用专家

Batemo 不是电池经销商。您可以从这里购买电池: HiNa Battery 钠创新能源 ME185 从 Reliance. 请填写下表以获取报价。
Batemo 不是电池经销商。您可以从这里购买电池: HiNa Battery 钠创新能源 ME185 从 BAK Battery. 请填写下表以获取报价。
Batemo 不是电池经销商。您可以从这里购买电池: HiNa Battery 钠创新能源 ME185 从 TENPOWER. 请填写下表以获取报价。
Batemo 不是电池经销商。您可以从这里购买电池: HiNa Battery 钠创新能源 ME185 从 Lishen Battery (SuZhou) Co., Ltd. 请填写下表以获取报价。
Batemo 不是电池经销商。您可以从这里购买电池: HiNa Battery 钠创新能源 ME185 从 FEB. 请填写下表以获取报价。
Batemo 不是电池经销商。您可以从这里购买电池: HiNa Battery 钠创新能源 ME185 从 Farasis. 请填写下表以获取报价。
Batemo 不是电池经销商。您可以从这里购买电池: HiNa Battery 钠创新能源 ME185 从 muRata. 请填写下表以获取报价。
Batemo 不是电池经销商。您可以从这里购买电池: HiNa Battery 钠创新能源 ME185 从 DMEGC. 请填写下表以获取报价。
扫描二维码联系我们的应用专家

Batemo 不是电池经销商。您可以从这里购买电池: HiNa Battery 钠创新能源 ME185 从 Aspilsan. 请填写下表以获取报价。
Batemo 不是电池经销商。您可以从这里购买电池: HiNa Battery 钠创新能源 ME185 从 Molicel. 请填写下表以获取报价。
Batemo 不是电池经销商。您可以从这里购买电池: HiNa Battery 钠创新能源 ME185 从 BMZ Germany GmbH. 请填写下表以获取报价。
申请一个 Batemo 电池模型
请联系我们的专家, 获取HiNa Battery 钠创新能源 ME185电池最精确的电池模型的报价。
想了解如何获取电芯的模型?扫描二维码联系Batemo的应用专家

获取 Batemo 电池报告
请联系我们的专家,获取HiNa Battery 钠创新能源 ME185电池详细的电池报告的报价
想了解如何获取电芯的报告?扫描二维码联系Batemo的应用专家

请联系我们的专家, 获取HiNa Battery 钠创新能源 ME185电池完整的实验特性的报价
想了解如何获取电芯的数据?扫描二维码联系Batemo的应用专家

You are currently viewing a placeholder content from Vimeo. To access the actual content, click the button below. Please note that doing so will share data with third-party providers.
More InformationYou are currently viewing a placeholder content from YouTube. To access the actual content, click the button below. Please note that doing so will share data with third-party providers.
More InformationYou need to load content from reCAPTCHA to submit the form. Please note that doing so will share data with third-party providers.
More InformationYou are currently viewing a placeholder content from Vimeo. To access the actual content, click the button below. Please note that doing so will share data with third-party providers.
More InformationYou are currently viewing a placeholder content from YouTube. To access the actual content, click the button below. Please note that doing so will share data with third-party providers.
More InformationYou are currently viewing a placeholder content from Bunny Stream. To access the actual content, click the button below. Please note that doing so will share data with third-party providers.
More InformationYou are currently viewing a placeholder content from Wistia. To access the actual content, click the button below. Please note that doing so will share data with third-party providers.
More InformationYou are currently viewing a placeholder content from Facebook. To access the actual content, click the button below. Please note that doing so will share data with third-party providers.
More Information