• 100% Consistency – no datasheets, no estimates, only high-quality data acquisition
• Instant One-Click Comparisons – find the perfect cell in seconds
• Unlimited Access to all cells for members
Erhalten Sie alles, was Sie für die Lithium-Ionen Batteriezelle Great Power GSP50160119F benötigen: Umfangreiche Messdaten im gesamten Betriebsbereich, ein hochpräzises Batteriemodell mit globaler Validität sowie einen Tear-Down-Bericht mit detaillierten Informationen zu Aufbau, Materialien und Mikrostrukturen.
| Zellherkunft | Beschaffung durch Batemo |
| Zellformat | Prismatisch |
| Abmessungen | 160 x 115 x 50 mm |
| Gewicht | 1,9294 kg |
| Kapazität definitionschließen
Die Nennkapazität stammt aus dem Datenblatt des Herstellers, sofern verfügbar. Wenn das Datenblatt nicht verfügbar ist, wird die Nennkapazität geschätzt. Batemo hat die C/10-Kapazität gemessen, indem die Zelle bei einer Umgebungstemperatur von 25°C von 100% mit einem Konstantstrom von 10A (0,1C) bis zum Erreichen der Spannung von 2V entladen wurde. Die thermische Randbedingung ist freie Konvektion.
|
nominal 100 Ah C/10 105,4 Ah |
| Strom definitionschließen
Alle Größen sind Messergebnisse aus dem Batemo-Batterielabor.
Der kontinuierliche Strom ist der höchste Strom, der die Zelle vollständig entlädt, ohne sie zu überhitzen. Dazu wird die Zelle von 100% Ladezustand (SOC) bei einer Umgebungstemperatur von 25°C mit konstantem Strom bis zu einem Rest-Ladezustand von 10% und entweder der unteren Spannungsgrenze von 2V oder 90% der maximalen Oberflächentemperatur (54°C) entladen. Der Spitzenstrom ist der Strom, den die Zelle 5 Minuten lang liefern kann. Dazu wird die Zelle von 100% SOC bei einer Umgebungstemperatur von 25°C mit konstantem Strom entladen, bis sie entweder die untere Spannungsgrenze von 2V oder die maximale Oberflächentemperatur von 60°C nach 5 Minuten erreicht. Für Zellen, die die maximale Oberflächentemperatur erreichen, wird der gemessene Strom direkt als Spitzenstrom übernommen. Für Zellen, die nach 5 Minuten nicht die maximale Oberflächentemperatur erreichen, weil sie zuerst die untere Spannungsgrenze erreichen, wird der gemessene Strom mit einem Korrekturfaktor multipliziert, der den Strom abschätzt, der die Zelle innerhalb von 5 Minuten auf die maximale Oberflächentemperatur erhitzt hätte. Die thermische Randbedingung ist freie Konvektion. Diese Betriebsbedingungen können außerhalb der Spezifikation des Zellherstellers liegen. |
kontinuierlich 290 A Spitze 658 A |
| Energie definitionschließen
Batemo hat die C/10-Energie gemessen, indem die Zelle bei einer Umgebungstemperatur von 25°C von 100% mit einem konstanten Strom von 10A (0,1C) bis zum Erreichen der Spannung von 2V entladen wurde. Die thermische Randbedingung ist freie Konvektion.
|
C/10 342,6 Wh |
| Leistung definitionschließen
Alle Angaben sind Messergebnisse aus dem Batemo-Batterielabor.
Die kontinuierliche Leistung ist die höchste Leistung, die die Zelle vollständig entlädt, ohne sie zu überhitzen. Daher wird die Zelle von 100% Ladezustand (SOC) bei einer Umgebungstemperatur von 25°C mit konstantem Strom bis zu einem Rest-Ladezustand von 10% und entweder der unteren Spannungsgrenze von 2V oder 90% der maximalen Oberflächentemperatur ( 54°C) entladen. Die Spitzenleistung ist die Leistung, die die Zelle 5 Minuten lang liefern kann. Daher wird die Zelle von 100% SOC bei einer Umgebungstemperatur von 25°C mit konstantem Strom entladen, bis sie entweder die untere Spannungsgrenze von 2V oder die maximale Oberflächentemperatur von 60°C nach 5 Minuten erreicht. Für Zellen, die die maximale Temperaturgrenze erreichen, wird die gemessene Leistung direkt als Spitzenleistung übernommen. Für Zellen, die nach 5 Minuten nicht die maximale Oberflächentemperatur erreichen, weil sie zuerst die untere Spannungsgrenze erreichen, wird die gemessene Leistung mit einem Korrekturfaktor multipliziert, der die Leistung abschätzt, die die Zelle innerhalb von 5 Minuten auf die maximale Oberflächentemperatur erhitzt hätte. Die thermische Randbedingung ist freie Konvektion. Diese Betriebsbedingungen können außerhalb der Spezifikation des Zellherstellers liegen. |
kontinuierlich 891 W Spitze 1,93 kW |
| Energiedichte definitionschließen
Die Energiedichten ergeben sich aus der C/10-Energie, dem Zellgewicht und dem Zellvolumen.
|
gravimetrisch 178 Wh/kg volumetrisch 372 Wh/l |
| Leistungsdichte definitionschließen
Die Leistungsdichten ergeben sich aus der Spitzenleistung, dem Zellgewicht und dem Zellvolumen.
|
gravimetrisch 998 W/kg volumetrisch 2,09 kW/l |
Das Batemo Cell Model der Lithium-Ion Batteriezelle Great Power GSP50160119F ist ein hochpräzises, physikalisches Zellmodell mit globaler Validität. Als digitaler Zwilling integriert es sich nahtlos in Ihre Forschung, Entwicklung und Analytik, indem es Ihre Entscheidungen auf Simulationen stützt. Weitere Informationen zu den Funktionen und Fähigkeiten des Batemo Cell Models finden Sie unter Details.
| Batemo Cell Model Version | 1.515 |
| Veröffentlichungsdatum | 31.03.2026 |
Batemo demonstriert die Genauigkeit und Gültigkeit des Batemo Cell Model, indem es Batteriesimulation und Messdaten im unten angegebenen Bereich vergleicht. Die Validierung ist umfangreich, die experimentelle Charakterisierung deckt den gesamten Betriebsbereich der Zelle ab: Bei niedrigen und hohen Temperaturen, bis zum maximalen Strom und im gesamten Ladezustandsbereich.
| Ladezustandsbereich | 0 … 100% |
| Strombereich definitionschließen Der Strombereich beschreibt die elektrischen Stromgrenzen, die im Batemo-Batterielabor verwendet werden. Bitte beachten Sie das Datenblatt Great Power GSP50160119F für die genaue Definition des sicheren Betriebsstrombereichs der Zelle. |
-400 A Entladung … 200 A Ladung (-4C … 2C) |
| Spannungsbereich definitionschließen Der Spannungsbereich beschreibt die elektrischen Spannungsgrenzen, die im Batemo-Batterielabor verwendet werden. Bitte beachten Sie das Datenblatt Great Power GSP50160119F für die genaue Definition des sicheren Betriebsspannungsbereichs der Zelle. |
2 … 3,65 V |
| Temperaturbereich definitionschließen Der Temperaturbereich beschreibt die thermischen Grenzen, die im Batemo-Batterielabor verwendet werden. Bitte beachten Sie das Datenblatt Great Power GSP50160119F für die genaue Definition des sicheren Betriebstemperaturbereichs der Zelle. |
-20 … 60 °C |
Die Validierung des Batemo Cell Models ist vollkommen transparent. Das Batemo Cell Data-Paket enthält die Rohdaten der Messungen und Simulationen. Für alle Experimente werden die Modellgenauigkeit hinsichtlich Spannung, Temperatur, Leistung und Energie berechnet. Dies ermöglicht eine unkomplizierte Bewertung und Analyse der Gültigkeit des Batemo Cell Models. Die Grafiken zeigen eine Auswahl charakteristischer Daten der Zelle Great Power GSP50160119F zur Bewertung der Zellperformance. Die Prädiktion des Batemo Cell Models wird in die Plots integriert, sobald das Batemo Cell Model abgeschlossen ist.
Experimentdefinitionen anzeigenschließen
Die mittleren Abweichungen ermöglichen quantitative Rückschlüsse bezüglich der Genauigkeit des Batemo Cell Models. Daher wird der quadratische Mittelwerts der Differenz zwischen dem Mess- und dem Simulationsergebnis für die Spannung, die Temperatur, die Energie und die Leistung abgeleitet. Relative Zahlen beziehen sich auf den jeweiligen absoluten Wert.
| Mittlere Spannungsgenauigkeit | 0,029 V | 1 % |
| Mittlere Temperaturgenauigkeit | 0,5 K | 0,7 % |
| Mittlere Leistungsgenauigkeit | 2,08 W | 0,7 % |
| Mittlere Energiegenauigkeit | 1,26 Wh | 1 % |
Das Batemo Cell Model beschreibt alle Aspekte der Zelle präzise. Es ist das perfekte Werkzeug für die Entwicklung von Batteriesystemen.
Batemo bietet eine umfassende, experimentelle Charakterisierung der Lithium-Ion Batteriezelle Great Power GSP50160119F. Die Daten enthalten Messergebnisse im gesamten Betriebsbereich der Zelle. Die unten stehenden Beschreibungen und Grafiken erläutern die verfügbaren Messungen. Der Batemo Cell Viewer ermöglicht eine einfache und schnelle Analyse, Bewertung und Vergleich der Daten. Weitere Informationen finden Sie unter Details.
Die Zelle wird bei unterschiedlichen Umgebungstemperaturen mit unterschiedlichen Konstantströmen von 100% SOC entladen oder von 0% SOC geladen. Die thermische Randbedingung ist freie Konvektion. Die Messung stoppt, wenn entweder die Spannung von 2V oder 3,65V oder die Oberflächentemperatur von 60°C erreicht wird. Das Diagramm zeigt, bei welchen Umgebungstemperaturen und Konstantströmen Messungen verfügbar sind.
Die Zelle wird bei unterschiedlichen Umgebungstemperaturen mit Strompulsen, gefolgt von Lastphasen, von 100% SOC entladen oder von 0% SOC geladen. Die thermische Randbedingung ist freie Konvektion. Die Messung stoppt, wenn entweder die Spannung von 2V oder 3,65V oder die Oberflächentemperatur von 60°C erreicht wird. Das Diagramm zeigt, bei welchen Umgebungstemperaturen und Pulsen Messungen verfügbar sind.
| Temperatur | Verfügbare Profile |
|---|---|
| -20 °C | ![]() |
| 0 °C | ![]() |
| 25 °C | ![]() |
| 40 °C | ![]() |
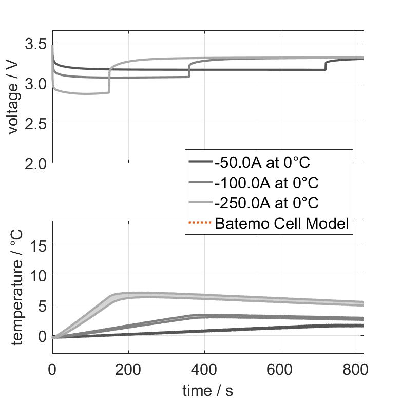
Die Zelle liefert ein typisches Leistungsprofil ausgehend von 100% SOC bei unterschiedlichen Umgebungstemperaturen. Die thermische Randbedingung ist freie Konvektion. Die Messung stoppt, wenn entweder die Spannung von 2V oder die Oberflächentemperatur von 60°C erreicht wird. Die Tabelle fasst zusammen, bei welchen Umgebungstemperaturen das Profil verfügbar ist.
Batemo bietet einen detaillierten Zerlege-Bericht der Lithium-Ion Batteriezelle Great Power GSP50160119F. Der Bericht enthält alle wichtigen strukturellen Aspekte der Zelle. Diese Informationen sind wertvoll, um das physikalische Verhalten der Zelle zu verstehen und zu vergleichen. Der Report liefert eine fundierte Basis für Zelldesign- und Auslegungsentscheidungen Ihres Batteriesystems. Weitere Informationen finden Sie in den Details.
| Leistungsübersicht | ![]() |
| Zelläußeres | ![]() |
| Zellinneres | ![]() |
| Sicherheitsmerkmale | ![]() |
| Elektrodenmikrostruktur und -material | ![]() |
Get in touch with an expert and receive a customized quotation for access to Batemo Insights.
Batemo ist kein Batterie-Händler. Sie können die Zelle Great Power GSP50160119F von Reliance kaufen. Füllen Sie das untenstehende Formular aus, um ein Angebot zu erhalten.
Batemo ist kein Batterie-Händler. Sie können die Zelle Great Power GSP50160119F von BAK Battery kaufen. Füllen Sie das untenstehende Formular aus, um ein Angebot zu erhalten.
Batemo ist kein Batterie-Händler. Sie können die Zelle Great Power GSP50160119F von TENPOWER kaufen. Füllen Sie das untenstehende Formular aus, um ein Angebot zu erhalten.
Batemo ist kein Batterie-Händler. Sie können die Zelle Great Power GSP50160119F von Lishen Battery (SuZhou) Co., Ltd kaufen. Füllen Sie das untenstehende Formular aus, um ein Angebot zu erhalten.
Batemo ist kein Batterie-Händler. Sie können die Zelle Great Power GSP50160119F von FEB kaufen. Füllen Sie das untenstehende Formular aus, um ein Angebot zu erhalten.
Batemo ist kein Batterie-Händler. Sie können die Zelle Great Power GSP50160119F von HighStar kaufen. Füllen Sie das untenstehende Formular aus, um ein Angebot zu erhalten.
Batemo ist kein Batterie-Händler. Sie können die Zelle Great Power GSP50160119F von V4Smart kaufen. Füllen Sie das untenstehende Formular aus, um ein Angebot zu erhalten.
Batemo ist kein Batterie-Händler. Sie können die Zelle Great Power GSP50160119F von Farasis kaufen. Füllen Sie das untenstehende Formular aus, um ein Angebot zu erhalten.
Batemo ist kein Batterie-Händler. Sie können die Zelle Great Power GSP50160119F von muRata kaufen. Füllen Sie das untenstehende Formular aus, um ein Angebot zu erhalten.
Batemo ist kein Batterie-Händler. Sie können die Zelle Great Power GSP50160119F von DMEGC kaufen. Füllen Sie das untenstehende Formular aus, um ein Angebot zu erhalten.
Batemo ist kein Batterie-Händler. Sie können die Zelle Great Power GSP50160119F von Aspilsan kaufen. Füllen Sie das untenstehende Formular aus, um ein Angebot zu erhalten.
Batemo ist kein Batterie-Händler. Sie können die Zelle Great Power GSP50160119F von Molicel kaufen. Füllen Sie das untenstehende Formular aus, um ein Angebot zu erhalten.
Batemo ist kein Batterie-Händler. Sie können die Zelle Great Power GSP50160119F von BMZ Germany GmbH kaufen. Füllen Sie das untenstehende Formular aus, um ein Angebot zu erhalten.
Holen Sie sich das Batemo Cell Model
Nehmen Sie Kontakt mit einem Experten auf und erhalten Sie ein Angebot für das präziseste Batteriemodell der Great Power GSP50160119F Zelle.
Holen Sie sich den Batemo Cell Report
Nehmen Sie Kontakt mit einem Experten auf und erhalten Sie ein Angebot für den detaillierten Zellbericht der Great Power GSP50160119F Zelle.
Nehmen Sie Kontakt mit einem Experten auf und erhalten Sie ein Angebot für die vollständige experimentelle Charakterisierung der Great Power GSP50160119F Zelle.
Sie sehen gerade einen Platzhalterinhalt von Vimeo. Um auf den eigentlichen Inhalt zuzugreifen, klicken Sie auf die Schaltfläche unten. Bitte beachten Sie, dass dabei Daten an Drittanbieter weitergegeben werden.
Mehr InformationenSie sehen gerade einen Platzhalterinhalt von YouTube. Um auf den eigentlichen Inhalt zuzugreifen, klicken Sie auf die Schaltfläche unten. Bitte beachten Sie, dass dabei Daten an Drittanbieter weitergegeben werden.
Mehr InformationenSie müssen den Inhalt von reCAPTCHA laden, um das Formular abzuschicken. Bitte beachten Sie, dass dabei Daten mit Drittanbietern ausgetauscht werden.
Mehr InformationenSie sehen gerade einen Platzhalterinhalt von Vimeo. Um auf den eigentlichen Inhalt zuzugreifen, klicken Sie auf die Schaltfläche unten. Bitte beachten Sie, dass dabei Daten an Drittanbieter weitergegeben werden.
Mehr InformationenSie sehen gerade einen Platzhalterinhalt von YouTube. Um auf den eigentlichen Inhalt zuzugreifen, klicken Sie auf die Schaltfläche unten. Bitte beachten Sie, dass dabei Daten an Drittanbieter weitergegeben werden.
Mehr InformationenSie sehen gerade einen Platzhalterinhalt von Bunny Stream. Um auf den eigentlichen Inhalt zuzugreifen, klicken Sie auf die Schaltfläche unten. Bitte beachten Sie, dass dabei Daten an Drittanbieter weitergegeben werden.
Mehr InformationenSie sehen gerade einen Platzhalterinhalt von Wistia. Um auf den eigentlichen Inhalt zuzugreifen, klicken Sie auf die Schaltfläche unten. Bitte beachten Sie, dass dabei Daten an Drittanbieter weitergegeben werden.
Mehr InformationenSie sehen gerade einen Platzhalterinhalt von Facebook. Um auf den eigentlichen Inhalt zuzugreifen, klicken Sie auf die Schaltfläche unten. Bitte beachten Sie, dass dabei Daten an Drittanbieter weitergegeben werden.
Mehr Informationen