• 100% Consistency – no datasheets, no estimates, only high-quality data acquisition
• Instant One-Click Comparisons – find the perfect cell in seconds
• Unlimited Access to all cells for members
Obtenga todo lo que necesita para la célula de batería de ion de litio muRata US26650FTC1A: Amplios datos de medición en toda el área operativa y un modelo físico de batería de alta precisión con validez global.
| Origen de la celda | Abastecimiento de Batemo |
| Formato de la celda | Cilíndrico |
| Dimensiones | 26,1 x 64,8 mm |
| Peso | 83,3 g |
| Capacidad definicióncerrar
La capacidad nominal proviene de la hoja de datos del fabricante, si está disponible. Cuando la hoja de datos no está disponible, se estima la capacidad nominal. Batemo midió la capacidad C/10 descargando la celda a una temperatura ambiente de 25°C desde el 100% con una corriente constante de 0,3A (0.1C) hasta alcanzar el voltaje de 2V. La condición límite térmica es la convección libre.
|
nominal 3 Ah C/10 2,93 Ah |
| Corriente definicióncerrar
Todas las cantidades son resultados de mediciones del laboratorio de baterías de Batemo.
La corriente continua es la corriente más alta que descarga completamente la celda sin sobrecalentarla. Por lo tanto, la celda se descarga del 100% del estado de carga (SOC) a una temperatura ambiente de 25°C con una corriente constante hasta un estado de carga residual del 10% y ya sea el límite de voltaje inferior de 2V o el 90% de la temperatura máxima de la superficie (72°C) se alcanza. La corriente máxima es la corriente que la celda puede suministrar durante 5 minutos. Por lo tanto, la celda se descarga del 100% del SOC a una temperatura ambiente de 25°C con una corriente constante hasta que alcance ya sea el límite de voltaje inferior de 2V o la temperatura máxima de la superficie de 80°C después de 5 minutos. Para las celdas que alcanzan la temperatura máxima de la superficie, la corriente medida se toma directamente como corriente máxima. Para las celdas que no alcanzan la temperatura máxima de la superficie después de 5 minutos porque alcanzan primero el límite de voltaje inferior, la corriente medida se multiplica por un factor de corrección que estima la corriente que habría calentado la celda a la temperatura máxima de la superficie en 5 minutos. La condición límite térmica es la convección libre. Estas condiciones de funcionamiento pueden estar fuera de las especificaciones del fabricante de la celda. |
continua 20,8 A pico 30,1 A |
| Energía definicióncerrar
Batemo midió la energía C/10 descargando la celda a una temperatura ambiente de 25°C desde el 100% con una corriente constante de 0,3A (0.1C) hasta alcanzar el voltaje de 2V. La condición límite térmica es la convección libre.
|
C/10 9,45 Wh |
| Potencia definicióncerrar
Todas las cantidades son resultados de mediciones del laboratorio de baterías de Batemo.
La potencia continua es la mayor potencia que descarga completamente la celda sin sobrecalentarla. Por lo tanto, la celda se descarga del 100% del estado de carga (SOC) a una temperatura ambiente de 25°C con una corriente constante hasta un estado de carga residual del 10% y ya sea el límite de voltaje inferior de 2V o el 90% de la temperatura máxima de la superficie ( 72°C) se alcanza. La potencia máxima es la potencia que la celda puede suministrar durante 5 minutos. Por lo tanto, la celda se descarga del 100% del SOC a una temperatura ambiente de 25°C con una corriente constante hasta que alcance ya sea el límite de voltaje inferior de 2V o la temperatura máxima de la superficie de 80°C después de 5 minutos. Para las celdas que alcanzan el límite de temperatura máxima, la potencia medida se toma directamente como potencia máxima. Para las celdas que no alcanzan la temperatura máxima de la superficie después de 5 minutos porque alcanzan primero el límite de voltaje inferior, la potencia medida se multiplica por un factor de corrección que estima la potencia que habría calentado la celda a la temperatura máxima de la superficie en 5 minutos. La condición límite térmica es la convección libre. Estas condiciones de funcionamiento pueden estar fuera de las especificaciones del fabricante de la celda. |
continua 57,9 W pico 80 W |
| Densidad de energía definicióncerrar
Las densidades de energía resultan de la energía C/10, el peso de la celda y el volumen de la celda.
|
gravimétrica 114 Wh/kg volumétrica 272 Wh/l |
| Densidad de potencia definicióncerrar
Las densidades de potencia resultan de la potencia máxima, el peso de la celda y el volumen de la celda.
|
gravimétrica 961 W/kg volumétrica 2,3 kW/l |
| Chemistry definition |
cathode ████ anode ████ |
| Resistance definition |
RAC ██ mΩ Rpol ██ mΩ DCIR ██ mΩ |
| Heat Power definition |
@ 1C ██ W @ 3C ██ W |
| Efficiency definition |
@ C/2 ██ % @ 1C ██ % |
Descubre más con Batemo Insights
Explora US26650FTC1A con 100+ métricas, datos de envejecimiento, análisis térmico y más
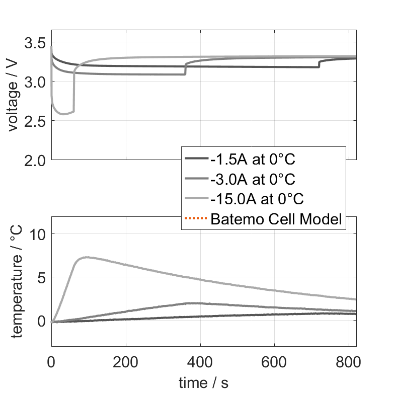
El Batemo Cell Model de la celda de batería de ion de litio muRata US26650FTC1A es un modelo de celda física de alta precisión con validez global. Como gemelo digital, se integra perfectamente en su investigación, desarrollo y análisis de baterías al basar sus decisiones en simulaciones. Vea los detalles para obtener más información sobre las características y capacidades del Batemo Cell Model. Batemo demuestra la precisión y validez del Batemo Cell Model comparando los datos de simulación y medición de la batería en el rango indicado a continuación. La validación es extensa, la caracterización experimental cubre toda el área operativa de la celda: A bajas y altas temperaturas, hasta la corriente máxima y en todo el rango de estado de carga.
| Rango de estado de carga | 0 … 100% |
| Rango de corriente definicióncerrar El rango de corriente son los límites de corriente eléctrica utilizados en el laboratorio de baterías Batemo. Consulte la hoja de datos muRata US26650FTC1A para la definición precisa del rango de corriente segura de operación de la celda. |
-33 A descarga … 6 A carga (-11C … 2C) |
| Rango de voltaje definicióncerrar El rango de voltaje son los límites de voltaje eléctrico utilizados en el laboratorio de baterías Batemo. Consulte la hoja de datos muRata US26650FTC1A para la definición precisa del rango de voltaje seguro de operación de la celda. |
2 … 3,65 V |
| Rango de temperatura definicióncerrar El rango de temperatura son los límites térmicos utilizados en el laboratorio de baterías Batemo. Consulte la hoja de datos muRata US26650FTC1A para la definición precisa del rango de temperatura segura de operación de la celda. |
-20 … 80 °C |
Además, la validación del Batemo Cell Model será completamente transparente. El Batemo Cell Data contiene los datos de medición y simulación en bruto. Para todos los experimentos se calculan las precisiones de voltaje, temperatura, potencia y energía. Esto permite una evaluación y análisis directos de la validez del Batemo Cell Model. Los gráficos muestran una selección de datos característicos de la celda muRata US26650FTC1A para evaluar el rendimiento de la celda. La predicción del Batemo Cell Model se incluye tan pronto como se complete el Batemo Cell Model.
mostrar definiciones de experimentoscerrar
Las precisiones medias y las herramientas de simulación compatibles se publican tan pronto como el Batemo Cell Model esté terminado.
Batemo ofrece una caracterización experimental extensa de la celda de batería de ion de litio muRata US26650FTC1A. Los datos contienen resultados de medición en toda el área operativa de la celda. Las descripciones y gráficos a continuación explican y muestran las mediciones disponibles. El Batemo Cell Viewer permite un análisis, evaluación y comparación fáciles y rápidos de los datos. Vea los detalles para obtener más información.
La celda se descarga desde 100% SOC o se carga desde 0% SOC con diferentes corrientes constantes a diferentes temperaturas ambientales. La condición límite térmica es la convección libre. La medición se detiene cuando se alcanza ya sea el voltaje de 2V o 3,65V o la temperatura superficial de 80°C. El gráfico muestra para qué temperaturas ambientales y corrientes constantes de carga y descarga hay mediciones disponibles.
La celda se descarga desde 100% SOC o se carga desde 0% SOC con pulsos de corriente seguidos de fases sin carga a diferentes temperaturas ambientales. La condición límite térmica es la convección libre. La medición se detiene cuando se alcanza ya sea el voltaje de 2V o 3,65V o la temperatura superficial de 80°C. El gráfico muestra para qué temperaturas ambientales y pulsos de corriente hay mediciones disponibles.
| Temperatura ambiente |
Perfiles Disponibles |
|---|---|
| -20 °C | ![]() |
| 0 °C | ![]() |
| 25 °C | ![]() |
| 40 °C | ![]() |
La celda entrega un perfil de potencia típico desde 100% SOC a diferentes temperaturas ambientales. La condición límite térmica es la convección libre. La medición se detiene cuando se alcanza ya sea el voltaje de 2V o la temperatura superficial de 80°C. La tabla resume para qué temperaturas ambientales el perfil está disponible.
Batemo propose un rapport détaillé sur la cellule de batterie de ion de litio muRata US26650FTC1A. Le rapport couvre tous les aspects importants de la cellule. Ces informations vous aideront à mieux évaluer et comparer la cellule. Il s’agit d’une base solide pour vos décisions concernant la conception de votre système de batterie. Voir les détails pour en savoir plus.
| Resumen de rendimiento | ![]() |
| Exterior de la celda | ![]() |
| Interior de la celda | ![]() |
| Características de seguridad | ![]() |
| Microestructura y material del electrodo | ![]() |
Desbloquea el análisis completo de US26650FTC1A en Batemo Insights
Batemo no es un revendedor de baterías. Usted puede comprar la célula muRata US26650FTC1A de Ampace. Rellene el siguiente formulario para obtener un presupuesto.
Batemo no es un revendedor de baterías. Usted puede comprar la célula muRata US26650FTC1A de EVE. Rellene el siguiente formulario para obtener un presupuesto.
Get in touch with an expert and receive a customized quotation for access to Batemo Insights.
Batemo no es un revendedor de baterías. Usted puede comprar la célula muRata US26650FTC1A de Reliance. Rellene el siguiente formulario para obtener un presupuesto.
Batemo no es un revendedor de baterías. Usted puede comprar la célula muRata US26650FTC1A de BAK Battery. Rellene el siguiente formulario para obtener un presupuesto.
Batemo no es un revendedor de baterías. Usted puede comprar la célula muRata US26650FTC1A de TENPOWER. Rellene el siguiente formulario para obtener un presupuesto.
Batemo no es un revendedor de baterías. Usted puede comprar la célula muRata US26650FTC1A de Lishen Battery (SuZhou) Co., Ltd. Rellene el siguiente formulario para obtener un presupuesto.
Batemo no es un revendedor de baterías. Usted puede comprar la célula muRata US26650FTC1A de FEB. Rellene el siguiente formulario para obtener un presupuesto.
Batemo no es un revendedor de baterías. Usted puede comprar la célula muRata US26650FTC1A de HighStar. Rellene el siguiente formulario para obtener un presupuesto.
Batemo no es un revendedor de baterías. Usted puede comprar la célula muRata US26650FTC1A de V4Smart. Rellene el siguiente formulario para obtener un presupuesto.
Batemo no es un revendedor de baterías. Usted puede comprar la célula muRata US26650FTC1A de Farasis. Rellene el siguiente formulario para obtener un presupuesto.
Batemo no es un revendedor de baterías. Usted puede comprar la célula muRata US26650FTC1A de muRata. Rellene el siguiente formulario para obtener un presupuesto.
Batemo no es un revendedor de baterías. Usted puede comprar la célula muRata US26650FTC1A de DMEGC. Rellene el siguiente formulario para obtener un presupuesto.
Batemo no es un revendedor de baterías. Usted puede comprar la célula muRata US26650FTC1A de Aspilsan. Rellene el siguiente formulario para obtener un presupuesto.
Batemo no es un revendedor de baterías. Usted puede comprar la célula muRata US26650FTC1A de Molicel. Rellene el siguiente formulario para obtener un presupuesto.
Batemo no es un revendedor de baterías. Usted puede comprar la célula muRata US26650FTC1A de BMZ Germany GmbH. Rellene el siguiente formulario para obtener un presupuesto.
Solicitar un Batemo Cell Model
Póngase en contacto con un experto y solicite el modelo de batería más preciso de la célula muRata US26650FTC1A.
Solicitar un Batemo Cell Report
Póngase en contacto con un experto y solicite el informe detallado de la célula de la célula muRata US26650FTC1A.
Póngase en contacto con un experto y reciba un presupuesto para la caracterización experimental completa de la célula muRata US26650FTC1A.
Estás viendo un contenido de marcador de posición de Vimeo. Para acceder al contenido real, haz clic en el siguiente botón. Ten en cuenta que al hacerlo compartirás datos con terceros proveedores.
Más informaciónEstás viendo un contenido de marcador de posición de YouTube. Para acceder al contenido real, haz clic en el siguiente botón. Ten en cuenta que al hacerlo compartirás datos con terceros proveedores.
Más informaciónEs necesario cargar contenido de reCAPTCHA para enviar el formulario. Ten en cuenta que al hacerlo compartirás datos con terceros proveedores.
Más informaciónEstás viendo un contenido de marcador de posición de Vimeo. Para acceder al contenido real, haz clic en el siguiente botón. Ten en cuenta que al hacerlo compartirás datos con terceros proveedores.
Más informaciónEstás viendo un contenido de marcador de posición de YouTube. Para acceder al contenido real, haz clic en el siguiente botón. Ten en cuenta que al hacerlo compartirás datos con terceros proveedores.
Más informaciónEstás viendo un contenido de marcador de posición de Bunny Stream. Para acceder al contenido real, haz clic en el siguiente botón. Ten en cuenta que al hacerlo compartirás datos con terceros proveedores.
Más informaciónEstás viendo un contenido de marcador de posición de Wistia. Para acceder al contenido real, haz clic en el siguiente botón. Ten en cuenta que al hacerlo compartirás datos con terceros proveedores.
Más informaciónEstás viendo un contenido de marcador de posición de Facebook. Para acceder al contenido real, haz clic en el siguiente botón. Ten en cuenta que al hacerlo compartirás datos con terceros proveedores.
Más información