• 100% Consistency – no datasheets, no estimates, only high-quality data acquisition
• Instant One-Click Comparisons – find the perfect cell in seconds
• Unlimited Access to all cells for members
Obtenez tout ce dont vous avez besoin pour la cellule de batterie lithium-ion Far East Battery (FEB) 21700-62E: des données de mesure étendues dans la zone opérationnelle totale, un modèle physique de batterie de haute précision avec une validité globale, ainsi qu'un rapport de démontage contenant tous les détails sur les matériaux et les microstructures.
| Origine de la cellule | Sourcé par Batemo |
| Format de la cellule | 21700 |
| Dimensions | 21,6 x 70,6 mm |
| Poids | 73,3 g |
| Capacité définitionfermer
La capacité nominale provient de la fiche technique du fabricant, si disponible. Lorsque la fiche technique n’est pas disponible, la capacité nominale est estimée. Batemo a mesuré la capacité C/10 en déchargeant la cellule à une température ambiante de 25°C de 100% avec un courant constant de 0,6A (0.1C) jusqu’à atteindre la tension de 2,5V. La condition limite thermique est la convection libre.
|
nominale 6 Ah C/10 6,2 Ah |
| Courant définitionfermer
Toutes les quantités sont des résultats de mesures du laboratoire de batteries de Batemo.
Le courant continu est le courant le plus élevé qui décharge complètement la cellule sans la surchauffer. Par conséquent, la cellule est déchargée de 100% de l’état de charge (SOC) à une température ambiante de 25°C avec un courant constant jusqu’à un état de charge résiduel de 10% et soit la limite de tension inférieure de 2,5V soit 90% de la température de surface maximale (63°C) est atteinte. Le courant de pointe est le courant que la cellule peut fournir pendant 5 minutes. La cellule est donc déchargée de 100% SOC à une température ambiante de 25°C avec un courant constant jusqu’à ce qu’elle atteigne soit la limite de tension inférieure de 2,5V soit la température de surface maximale de 70°C après 5 minutes. Pour les cellules qui atteignent la température de surface maximale, le courant mesuré est directement pris comme courant de pointe. Pour les cellules qui n’atteignent pas la température de surface maximale après 5 minutes parce qu’elles atteignent d’abord la limite de tension inférieure, le courant mesuré est multiplié par un facteur de correction qui estime le courant qui aurait chauffé la cellule à la température de surface maximale en 5 minutes. La condition limite thermique est la convection libre. Ces conditions de fonctionnement peuvent être en dehors des spécifications du fabricant de cellules. |
continu 10,2 A pic 21,9 A |
| Énergie définitionfermer
Batemo a mesuré l’énergie C/10 en déchargeant la cellule à une température ambiante de 25°C de 100% avec un courant constant de 0,6A (0.1C) jusqu’à atteindre la tension de 2,5V. La condition limite thermique est la convection libre.
|
C/10 22 Wh |
| Puissance définitionfermer
Toutes les quantités sont des résultats de mesures du laboratoire de batteries de Batemo.
La puissance continue est la plus grande puissance qui décharge complètement la cellule sans la surchauffer. Par conséquent, la cellule est déchargée de 100% de l’état de charge (SOC) à une température ambiante de 25°C avec un courant constant jusqu’à un état de charge résiduel de 10% et soit la limite de tension inférieure de 2,5V soit 90% de la température de surface maximale ( 63°C) est atteinte. La puissance de pointe est la puissance que la cellule peut fournir pendant 5 minutes. La cellule est donc déchargée de 100% SOC à une température ambiante de 25°C avec un courant constant jusqu’à ce qu’elle atteigne soit la limite de tension inférieure de 2,5V soit la température de surface maximale de 70°C après 5 minutes. Pour les cellules qui atteignent la limite de température maximale, la puissance mesurée est directement prise comme puissance de pointe. Pour les cellules qui n’atteignent pas la température de surface maximale après 5 minutes parce qu’elles atteignent d’abord la limite de tension inférieure, la puissance mesurée est multipliée par un facteur de correction qui estime la puissance qui aurait chauffé la cellule à la température de surface maximale en 5 minutes. La condition limite thermique est la convection libre. Ces conditions de fonctionnement peuvent être en dehors des spécifications du fabricant de cellules. |
continue 34 W pic 74,9 W |
| Densité énergétique définitionfermer
Les densités d’énergie résultent de l’énergie C/10, du poids de la cellule et du volume de la cellule.
|
gravimétrique 299 Wh/kg volumétrique 848 Wh/l |
| Densité de puissance définitionfermer
Les densités de puissance résultent de la puissance de pointe, du poids de la cellule et du volume de la cellule.
|
gravimétrique 1,02 kW/kg volumétrique 2,89 kW/l |
| Chemistry definition |
cathode ████ anode ████ |
| Resistance definition |
RAC ██ mΩ Rpol ██ mΩ DCIR ██ mΩ |
| Heat Power definition |
@ 1C ██ W @ 3C ██ W |
| Efficiency definition |
@ C/2 ██ % @ 1C ██ % |
Découvrez plus avec Batemo Insights
Explorez 21700-62E avec 100+ métriques, données de vieillissement, analyse thermique & plus
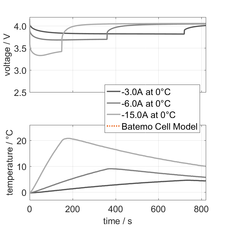
Le Batemo Cell Model de la cellule de batterie lithium-ion Far East Battery (FEB) 21700-62E est un modèle physique de haute précision avec une validité globale. En tant que jumeau numérique, il s’intègre parfaitement dans vos recherches, développements et analyses de batterie, vous permettant de baser vos décisions sur des simulations. Consultez les détails pour en savoir plus sur les fonctionnalités et capacités du Batemo Cell Model. Batemo démontre la précision et la validité du Batemo Cell Model en comparant les données de simulation et de mesure de la batterie dans la plage indiquée ci-dessous. La validation est étendue, et la caractérisation expérimentale couvre la totalité de la zone opérationnelle de la cellule : à basses et hautes températures, jusqu’au courant maximal, et dans toute la plage de l’état de charge.
| Plage d’état de charge | 0 … 100% |
| Plage de courant définitionfermer La plage de courant représente les limites de courant électrique utilisées dans le laboratoire de batterie Batemo. Veuillez consulter la fiche technique Far East Battery (FEB) 21700-62E pour une définition précise de la zone de fonctionnement sûre de la cellule. |
-30 A décharge … 9 A charge (-5C … 1,5C) |
| Plage de tension définitionfermer La plage de tension représente les limites de tension électrique utilisées dans le laboratoire de batterie Batemo. Veuillez consulter la fiche technique Far East Battery (FEB) 21700-62E pour une définition précise de la zone de fonctionnement sans danger pour la tension de la cellule. |
2,5 … 4,2 V |
| Plage de température définitionfermer La plage de température représente les limites thermiques utilisées dans le laboratoire de batterie Batemo. Veuillez consulter la fiche technique Far East Battery (FEB) 21700-62E pour une définition précise de la zone de fonctionnement de la cellule sans risque pour la température. |
-20 … 70 °C |
En outre, la validation du Batemo Cell Model est totalement transparente. Les données de mesure brute et de simulation sont contenues dans la Batemo Cell Data. Pour toutes les expériences, les précisions de tension, de température, de puissance et d’énergie sont calculées, permettant ainsi une évaluation et une analyse simples de la validité du Batemo Cell Model. Les graphiques montrent une sélection de données caractéristiques de la cellule Far East Battery (FEB) 21700-62E pour évaluer sa performance. La prédiction du Batemo Cell Model est intégrée dans les tracés dès que le modèle est finalisé.
montrer les définitions des expériencesfermer
Les précisions moyennes et les outils de simulation pris en charge sont publiés dès que le Batemo Cell Model est terminé.
Batemo propose une caractérisation expérimentale approfondie de la cellule de batterie lithium-ion Far East Battery (FEB) 21700-62E. Les données contiennent les résultats des mesures effectuées dans toute la zone opérationnelle de la cellule. Les descriptions et les graphiques ci-dessous expliquent et illustrent les mesures disponibles. Le Batemo Cell Viewer permet une analyse, une évaluation et une comparaison faciles et rapides des données. Consultez les détails pour en savoir plus.
La cellule est déchargée à partir de 100 % SOC ou chargée à partir de 0 % SOC avec différents courants, sous différentes températures ambiantes. La condition limite thermique est la convection libre. La mesure s’arrête lorsqu’on atteint soit une tension de 2,5V ou 4,2V, soit une température de surface de 70°C. Le graphique montre pour quelles températures ambiantes et quels courants constants de charge et de décharge des mesures sont disponibles.
La cellule est déchargée à partir de 100 % SOC ou chargée à partir de 0 % SOC avec des impulsions de courant suivies de phases sans charge, sous différentes températures ambiantes. La condition limite thermique est la convection libre. La mesure s’arrête lorsqu’on atteint soit une tension de 2,5V ou 4,2V, soit une température de surface de 70°C. Le graphique montre pour quelles températures ambiantes et quels courants d’impulsion des mesures sont disponibles.
| Température ambiante |
Profils disponibles |
|---|---|
| -20 °C | ![]() |
| 0 °C | ![]() |
| 25 °C | ![]() |
| 40 °C | ![]() |
La cellule délivre un profil de puissance typique à partir de 100 % SOC, sous différentes températures ambiantes. La condition limite thermique est la convection libre. La mesure s’arrête lorsqu’on atteint soit une tension de 2,5V, soit une température de surface de 70°C. Le tableau résume les températures ambiantes pour lesquelles le profil est disponible.
Batemo propose un rapport détaillé sur la cellule de batterie lithium-ion Far East Battery (FEB) 21700-62E. Le rapport couvre tous les aspects importants de la cellule, vous aidant à mieux l’évaluer et la comparer. Ces informations constituent une base solide pour vos décisions concernant la conception de votre système de batterie. Consultez les détails pour en savoir plus.
| Vue d’ensemble des performances | ![]() |
| Extérieur de la cellule | ![]() |
| Intérieur de la cellule | ![]() |
| Caractéristiques de sécurité | ![]() |
| Microstructure et matériau des électrodes | ![]() |
Débloquez l'analyse complète pour 21700-62E dans Batemo Insights
Batemo n'est pas un revendeur de batteries. Vous pouvez acheter la cellule Far East Battery (FEB) 21700-62E chez Ampace. Remplissez le formulaire ci-dessous pour obtenir un devis.
Batemo n'est pas un revendeur de batteries. Vous pouvez acheter la cellule Far East Battery (FEB) 21700-62E chez EVE. Remplissez le formulaire ci-dessous pour obtenir un devis.
Get in touch with an expert and receive a customized quotation for access to Batemo Insights.
Batemo n'est pas un revendeur de batteries. Vous pouvez acheter la cellule Far East Battery (FEB) 21700-62E chez Reliance. Remplissez le formulaire ci-dessous pour obtenir un devis.
Batemo n'est pas un revendeur de batteries. Vous pouvez acheter la cellule Far East Battery (FEB) 21700-62E chez BAK Battery. Remplissez le formulaire ci-dessous pour obtenir un devis.
Batemo n'est pas un revendeur de batteries. Vous pouvez acheter la cellule Far East Battery (FEB) 21700-62E chez TENPOWER. Remplissez le formulaire ci-dessous pour obtenir un devis.
Batemo n'est pas un revendeur de batteries. Vous pouvez acheter la cellule Far East Battery (FEB) 21700-62E chez Lishen Battery (SuZhou) Co., Ltd. Remplissez le formulaire ci-dessous pour obtenir un devis.
Batemo n'est pas un revendeur de batteries. Vous pouvez acheter la cellule Far East Battery (FEB) 21700-62E chez FEB. Remplissez le formulaire ci-dessous pour obtenir un devis.
Batemo n'est pas un revendeur de batteries. Vous pouvez acheter la cellule Far East Battery (FEB) 21700-62E chez HighStar. Remplissez le formulaire ci-dessous pour obtenir un devis.
Batemo n'est pas un revendeur de batteries. Vous pouvez acheter la cellule Far East Battery (FEB) 21700-62E chez V4Smart. Remplissez le formulaire ci-dessous pour obtenir un devis.
Batemo n'est pas un revendeur de batteries. Vous pouvez acheter la cellule Far East Battery (FEB) 21700-62E chez Farasis. Remplissez le formulaire ci-dessous pour obtenir un devis.
Batemo n'est pas un revendeur de batteries. Vous pouvez acheter la cellule Far East Battery (FEB) 21700-62E chez muRata. Remplissez le formulaire ci-dessous pour obtenir un devis.
Batemo n'est pas un revendeur de batteries. Vous pouvez acheter la cellule Far East Battery (FEB) 21700-62E chez DMEGC. Remplissez le formulaire ci-dessous pour obtenir un devis.
Batemo n'est pas un revendeur de batteries. Vous pouvez acheter la cellule Far East Battery (FEB) 21700-62E chez Aspilsan. Remplissez le formulaire ci-dessous pour obtenir un devis.
Batemo n'est pas un revendeur de batteries. Vous pouvez acheter la cellule Far East Battery (FEB) 21700-62E chez Molicel. Remplissez le formulaire ci-dessous pour obtenir un devis.
Batemo n'est pas un revendeur de batteries. Vous pouvez acheter la cellule Far East Battery (FEB) 21700-62E chez BMZ Germany GmbH. Remplissez le formulaire ci-dessous pour obtenir un devis.
Demander un Batemo Cell Model
Contactez un expert et demandez le modèle de batterie le plus précis de la cellule Far East Battery (FEB) 21700-62E.
Demander un Batemo Cell Report
Contactez un expert et demandez le rapport cellulaire détaillé de la cellule Far East Battery (FEB) 21700-62E.
Contactez un expert et recevez un devis pour la caractérisation expérimentale complète de la cellule Far East Battery (FEB) 21700-62E.
Vous êtes actuellement en train de consulter le contenu d'un espace réservé de Vimeo. Pour accéder au contenu réel, cliquez sur le bouton ci-dessous. Veuillez noter que ce faisant, des données seront partagées avec des providers tiers.
Plus d'informationsVous êtes actuellement en train de consulter le contenu d'un espace réservé de YouTube. Pour accéder au contenu réel, cliquez sur le bouton ci-dessous. Veuillez noter que ce faisant, des données seront partagées avec des providers tiers.
Plus d'informationsVous devez charger le contenu de reCAPTCHA pour soumettre le formulaire. Veuillez noter que ce faisant, des données seront partagées avec des providers tiers.
Plus d'informationsVous êtes actuellement en train de consulter le contenu d'un espace réservé de Vimeo. Pour accéder au contenu réel, cliquez sur le bouton ci-dessous. Veuillez noter que ce faisant, des données seront partagées avec des providers tiers.
Plus d'informationsVous êtes actuellement en train de consulter le contenu d'un espace réservé de YouTube. Pour accéder au contenu réel, cliquez sur le bouton ci-dessous. Veuillez noter que ce faisant, des données seront partagées avec des providers tiers.
Plus d'informationsVous êtes actuellement en train de consulter le contenu d'un espace réservé de Bunny Stream. Pour accéder au contenu réel, cliquez sur le bouton ci-dessous. Veuillez noter que ce faisant, des données seront partagées avec des providers tiers.
Plus d'informationsVous êtes actuellement en train de consulter le contenu d'un espace réservé de Wistia. Pour accéder au contenu réel, cliquez sur le bouton ci-dessous. Veuillez noter que ce faisant, des données seront partagées avec des providers tiers.
Plus d'informationsVous êtes actuellement en train de consulter le contenu d'un espace réservé de Facebook. Pour accéder au contenu réel, cliquez sur le bouton ci-dessous. Veuillez noter que ce faisant, des données seront partagées avec des providers tiers.
Plus d'informations